Подрывные методы или широкая поддержка: стратегический компромисс
@AnarchyPlusПредупреждение! Ссылки на социологические работы, приведенные в скобках, это не «доказательства» приведенных в тексте утверждений. Как правило, речь идет о «сильном предположении» – многое зависит от способов операционализации понятий, способов контроля, ограничений на масштаб исследования. Обычно авторы стремятся поставить под контроль возможные альтернативные объяснения, но всегда могут остаться какие-то неочевидные объяснения. В нашем изложении, многие детали опущены. Ссылки нужны, чтобы желающие могли лучше понять контекст. Работы, указанные без гиперссылок, мы не читали, но взяли указания на них из других работ. Этот текст – заявка к дальнейшей разработке
Два стула
Активисты давно спорят, какие тактики лучше подходят для протеста – разрушительные или мирные. Давайте попробуем обратиться к социологии движений, чтобы прокомментировать этот спор.
В последние десятилетия появились многочисленные работы, которые говорят об эффективности подрывных (disruptive) протестных тактик (несколько примеров: классика в McAdam 1983, статья Biggs and Andrews 2015 и даже студенческое исследование Shattuck 2013).
С другой стороны, все чаще исследования демонстрируют преимущества ненасильственных протестных тактик (Chenoweth and Stephan 2008).
Это может показаться противоречием, но только на первый взгляд.
Три категории тактик
Вот что надо отметить:
- В понятие disruptive tactics исследователи включают и насильственные и ненасильственные методы, хотя это различие часто не обозначается. Сюда относятся любые тактики, которые нарушают нормальное функционирование институтов или повседневных рутин общества. К примеру: перекрытие улицы может нарушить работу учреждения даже без применения насилия
- Насильственные методы можно рассматривать как крайную форму подрывных тактик
- Ненасильственные подрывные методы можно рассматривать, как умеренную форму подрывных тактик
Исследование "The Use of Disruptive Tactics in Protest as a Trade-Off: The Role of Social Movement Claims" by Wang and Piazza выделяет три категории тактик: non-disruptive, nonviolent disruptive и violent disruptive.
Ваш тактический плейлист – не компромисс?
Подрывные тактики лучше привлекают внимание медиа, публики и властей (Amenta 2009; Snyder and Kelly 1977; Mueller and McClurg 1997; Tarrow 2011; Gamson 1975), показывают решимость движения (что может влиять на принятие решений противником), способны спровоцировать каскадные смещения привычных общественных структур и рутинных практик нарушением работы отдельных частей общества (Koopmans 2007; Sewell 1996).
Но используя подрывные тактики, протестующие могут оттолкнуть поддержку масс (Feinberg, Willer and Kovacheff 2017; Haines 1984; Haines 1988; Elsbach and Sutton 1992; Johnson, Dowd, and Ridgeway 2006), которая повышает шансы движения на успех (Ohlemacher 1996; Chenoweth and Stephan 2008; Meyer and Whittier 1994; Van Dyke and McCammon 2010; Heaney and Rojas 2014).
А это значит, что при выборе стратегии, протестующие сталкиваются с необходимостью находить компромисс по двум различным параметрам. С одной стороны, воспользоваться «бонусом к политической эффективности», который дают подрывные методы, с другой стороны – не потерять поддержку.
Ряд работ показывает, как формируется этот «стратегический компромисс» (Wang and Piazza 2016; Feinberg, Willer and Kovacheff 2017).
Выбор активиста
Компромисс между указанными тактиками может зависеть от следующих параметров:
- Мишени протеста (правительство, бизнес, не-государственные институты). Когда протест направлен против государственных структур, использование подрывных тактик становится менее вероятно в целом, но вероятность растет с размером протестного события (Wang and Piazza 2016; Walker, Martin, and McCarthy 2008; Martin, McPhail, and McCarthy 2009)
- Профессионализация и участие в протесте формальных организаций (Wang and Piazza 2016; Kriesi et al. 1995; Meyer and Whittier 1994; McCammon 2003; Staggenborg 1988). Когда в движении появляются профессиональные кадры, они открывают доступ к большему количеству ресурсов, а это снижает вероятность использования публичных подрывных тактик типа маршей и демонстраций (как минимум, в странах с относительно открытой структурой политических возможностей)
- Наличие на протесте полиции и контрдемонстрантов (результаты разных исследований неоднозначны)
- Широта охвата различных аудиторий протестной повесткой (Wang and Piazza 2016; Piven and Cloward 1977; Scott 1985; Van Dyke, Soule, and Taylor 2004; Tarrow 2011; Heaney and Rojas 2014; Jung, King, and Soule 2014; Grant and Wallace 1991; Jenkins and Eckert 1986)
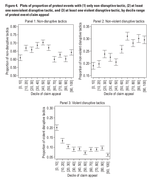
Именно последний пункт интересует нас здесь больше всего. Рассмотрим результаты исследования "The Use of Disruptive Tactics in Protest as a Trade-Off: The Role of Social Movement Claims" by Wang and Piazza*. Обратите внимание, что в этой работе исследуется не способность конкретной повестки мобилизовать поддержку, а именно процесс расширения набора протестных требований на большее число аудиторий (о том, как связаны диверсификация повестки или идентичностей и объем поддержки смотри Heaney and Rojas 2014; Negro, Perretti, and Carroll 2013; Beamish and Luebbers 2009).
Вот основные выводы работы:
- Чем маргинальнее повестка протестной группы, тем больше вероятность что она прибегнет к подрывным насильственным методам
- Чем шире повестка протестной группы, тем больше вероятность, что она прибегнет к подрывным ненасильственным тактикам
- Не-подрывные тактики протеста используются в большинстве протестных событий и практически не зависят от охвата повестки
- Направленность протестов против правительства или присутствие на протесте формальных организаций подавляет положительную корреляцию между широтой охвата протестной повестки и вероятностью использования подрывных ненасильственных тактик за счет увеличения вероятности использования не-подрывных тактик. Использование подрывных насильственных тактик по-прежнему связано с узкими протестными требованиями
- На протестах, направленных против правительства, резко снижается вероятность использования подрывных тактик каждого вида, причем насильственных – больше
- Наиболее маргинализованные группы с наибольшей вероятностью прибегают к насилию, но даже незначительное увеличение широты охвата у протестной повестки, которую они используют, резко снижает эту вероятность
По-видимому, протестные группы, использующие повестку с наибольшим охватом, прибегают к подрывным тактикам (как публичные марши), чтобы увеличить эффективность протеста, но избегают насильственных подрывных тактик (как силовой захват зданий), потому что это может оттолкнуть существующую и потенциальную поддержку общества.

В работе приводится пример. Работники «Скоростной Системы Зоны Залива» устроили забастовку ради повышения зарплат в июле 2013. Возможность воспользоваться сервисом потеряли 400,000 пассажиров. Однако, местное сообщество не поддержало забастовку после того как стало известно, что средняя зарплата рабочих в ССЗЗ превышает $80,000, что много больше средней зарплаты в регионе. Люди сочли, что неудобства от протеста слишком велики для таких требований. Таким образом, подрывные формы протеста могут оттолкнуть потенциальную поддержку, если характер требований не оправдывает разрушительный эффект протеста.
Ненасилие – точка равновесия
Но приведенные выше данные не проверяют прямо эффективность таких решений, они лишь показывают, какие решения принимаются чаще. Можно предположить, что наиболее частый при широком охвате протестной повестки стратегический компромисс – использование подрывных ненасильственных тактик – будет наиболее эффективным решением в общем случае. И действительно: есть ряд исследований, которые подтверждают это.
Ненасильственные кампании лучше привлекают поддержку (Chenoweth and Stephan 2008; Orazani and Leidner 2019), скорее вызывают смещение лояльности у силовиков, чиновников и бизнеса, и в целом побеждают примерно вдвое чаще чем насильственные (Chenoweth and Stephan 2008).
Это не значит, что ненасильственные подрывные тактики – универсальный ответ. Компромисс всегда формируется в конкретном стратегическом контексте, он зависит от политических условий и возможностей протестующих. Выбор между тактиками остается гибким; речь скорее о степени разрушительности и степени насильственности, чем о переключении скачками между тремя вариантами. Не забывайте ключевые слова: протестующие находят баланс плюсов и минусов по разным параметрам, чтобы придти к стратегическому компромиссу.
Если значения одного из параметров жестко фиксированы (движение не получит и не потеряет поддержку, что бы мы ни делали) или избыточны (скажем, движение поддерживает практически всё население), выбор по другому параметру будет более свободным (мы сможем использовать более разрушительные тактики без «штрафов»).
Сложные системы
Добавим несколько деталей, которые могут усложнить общую картину.
Расширение протеста и размер протеста
В работе Martin, McPhail, and McCarthy 2009 показано, что вероятность применения насилия может расти с размером протестного события; однако, если различать цели насилия (насилие против властей, гражданских, разрушение публичной или частной собственности), то становится видно, что пока вероятность одних видов насилия растет, вероятность других снижается. Для разных типов событий и разных коллективов, это может происходить по-разному.
Здесь интересно указание на связь между размером события и вероятностью применения насилия. Можно увидеть противоречие с выводами, сделанными в работе Wang and Piazza. Если результаты приведенных выше исследований допустимо сопоставить (чтобы сделать это всерьез, а не в режиме догадки, потребовалась бы отдельная большая работа), можно предположить, что здесь может иметь место относительно сложная динамика формирования компромисса между разными типами тактик в рамках движения: когда протест расширяет повестку, он склонен прибегать к менее подрывным тактикам; крупные протестные события чаще включают некоторые более подрывные тактики; но умеренно подрывные (скорее ненасильственные) кампании привлекают большее число участников.
Возможно, для приобретения и сохранения поддержки, движению требуются менее разрушительные тактики, но едва движение приобретает большую поддержку, это либо позволяет прибегнуть к более разрушительным тактикам, либо может спровоцировать их. Что в свою очередь, сузит поддержку.
Это предположение перекликается с работой про социальные реле, где группа, которая сумела создать образ более умеренной, приобрела большую поддержку местного сообщества и по факту была способна применять более экстремальные тактики (Ohlemacher 1996).
Другая работа, которая может быть интересна в связи с этим предположением. Jasper 2004 показывает на примере антиядерного движения в США, что когда протестующие расширяют свои требования, формируя стратегические альянсы, это приносит протесту больше организационных ресурсов и в конечном счете повышает способность использовать подрывные тактики протеста.
Динамика в авторитарных странах
Paul Almeida предлагает теоретический фреймворк для понимания динамики протеста в авторитарном контексте. Либерализация государства стимулирует появление и развитие формальных организаций в социальных движениях, а эти организации подталкивают движение к менее подрывным формам протеста («мобилизация, вызванная либерализацией»). Но когда государство снова закручивает гайки, гражданское общество использует накопленный в период либерализации организационный капитал, чтобы перейти к протестам в более экстремальных формах («мобилизация, вызванная подавлением»).
Радикальный фланг
Исследователи пишут об эффекте радикального фланга: группы, которые применяют крайние тактики и разделяют крайние требования, в определенных условиях могут способствовать успеху более умеренного протеста.
Дробление понятия насилия: виды, цели, степень
В общей динамике протестного применения насилия может быть важно различать стратегическое насилие (активисты выбрали насильственные тактики) и спонтанное (например, реактивное – в ответ на действия контрдемонстрантов или полиции). Разные типы могут больше относиться к разным аспектам динамики. Кроме того, исследователи различают мишени насилия (представители властей, граждане, частная собственность, публичная собственность) и степени насилия (например, «ненасильственными» часто называются кампании, в которых доля насилия относительно мала).
Направленность насилия
Насилие не всегда отталкивает поддержку. Важен характер насилия. Если насилие протестующих снизит поддержку общества, то насилие над протестующими притягивает поддержку.
Некоторые работы предполагают, что ответное насилие протестующих, или насилие, вызванное репрессиями (Earl, Soule, and McCarthy 2003) может получить большую поддержку, чем насилие которое инициируют протестующие.
Для теоретического объяснения новых детальных данных, потребуются более гибкие концепты с большими «степенями свободы». Чтобы схватить механику, которая стоит за описанными выше тонкостями, Martin, McPhail, and McCarthy 2009 выделили два параметра, которые могут влиять на восприятие размера протеста внешней аудиторией: разрушительный потенциал и легитимность. Мы в прошлом использовали для той же цели концепт «морального капитала».
Предрассудки о насилии
Суммируя все сказанное выше, можно заключить. Склонность к повстанчеству не имеет отношения к анархической идее. Она отражает только состояние маргинализированной субкультуры. Это типичная картина: фрустрация, социальная изоляция и отсутствие ресурсов заставляют группу прибегать к средствам, которые дают заметный на короткой перспективе результат незначительными усилиями, хотя и мешают достичь серьезных успехов.
Всевозможные толстовцы только дополняют повстанческих анархистов. Один вид ложного понимания ситуации становится прочнее, когда противопоставляется другому.
Критика оружия должна быть направлена не против насилия, как метода, а против искажений восприятия, связанных с насилием, которые существуют у анархистов.
Наивному мышлению крайнее, яркое, быстрое кажется «подлинным»; короткая эвристика сообщает нам об эффективности вооруженной борьбы. Кроме того, апология насилия – это перенос бытового повседневного опыта уличных драк на социальные процессы совершенно другого масштаба.
Но если мы попытаемся рассматривать насилие стратегически, нам предстанет совсем другая картина.
Ключевые слова: social movement theory, collective violence, strategic trade-off, strategic decision-making process, strategic violence, strategic non-violence.
Наш канал: @AnarchyPlus
______
* Эта работа имеет ряд ограничений. Обработаны данные только по 23.000 протестных событий в США между 1960 и 1995 годами. Полученные выводы будут релевантны в первую очередь скорее для стран с похожей структурой политических возможностей. Положение дел для других структур политических возможностей требует отдельной проверки. Статистические данные не дополняются «качественными» полевыми исследованиями, которые показывали бы механизм принятия решений активистами. Впечатляющая работа по проверке результатов на устойчивость дает, однако, ряд дополнительных выводов – смотри часть оригинального текста про контрольные переменные.
Литература без гиперссылок (если вы хотите помочь нам в обработке материалов и повысить качество текстов, пишите на @AnarchyGoBot):
Beamish, T. D., and A. J. Luebbers. 2009. “Alliance Building across Social Movements: Bridging Difference in a Peace and Justice Coalition.”
Haines, H. H. 1988. Black Radicals and the Civil Rights Mainstream, 1954–1970.
Heaney, M. T., and F. Rojas. 2014. “Hybrid Activism: Social Movement Mobilization in a Multi-Movement Environment.”
Grant, D. S. I., and M. Wallace. 1991. “Why Do Strikes Turn Violent?”
Kriesi, H., R. Koopmans, J.W. Duyvendak, and M. G. Giugni. 1995. New Social Movements in Western Europe: A Comparative Analysis.
McCammon, H. J. 2003. “‘Out of the Parlors and into the Streets’: The Changing Tactical Repertoire of the US Women’s Suffrage Movements.”
Meyer, D. S., and N. Whittier. 1994. “Social-Movement Spillover.”
Negro, G., F. Perretti, and G. R. Carroll. 2013. “Challenger Groups, Commercial Organizations, and Policy Enactment: Local Lesbian/Gay Rights Ordinances in the United States from 1972 to 2008.”
Piven, F. F., and R. A. Cloward. 1977. Poor People’s Movements.
Scott, James C. 1985. Weapons of the Weak: Everyday Forms of Peasant Resistance.
Staggenborg, S. 1988. “The Consequences of Professionalization and Formalization in the Pro-Choice Movement.”
Tarrow, S. 2011. Power in Movement: Collective Action, Social Movements, and Politics, 3rd ed.
Van Dyke, N., S. A. Soule, and V. A. Taylor. 2004. “The Targets of Social Movements: Beyond a Focus on the State.”
Van Dyke, N., and H. J. McCammon, eds. 2010. Strategic Alliances: Coalition Building and Social Movements.
Jenkins, J. C., and C. M. Eckert. 1986. “Channeling Black Insurgency: Elite Patronage and Professional Social Movement Organizations in the Development of the Black Movement.”
Jung, W., B. G. King, and S. A. Soule. 2014. “Issue Bricolage: Explaining the Configuration of the Social Movement Sector, 1960–1995.”
Если вы дочитали до этого места, возможно вам будет интересно присоединиться к нашему полуанонимному чату. О вашем участии в чате не будут знать другие пользователи. Но ваш ник могут увидеть: владелец (зарубежного) сервера, Телеграм, мы. Правила пользования чатом в закрепе — вам придется писать через специального бота: https://t.me/joinchat/AAAAAFPdKTRJHGdKRPGW2g