Решение. Заяц на снежинке Коха (#130)
MathreshkaОтвет: x > ¾
Решение
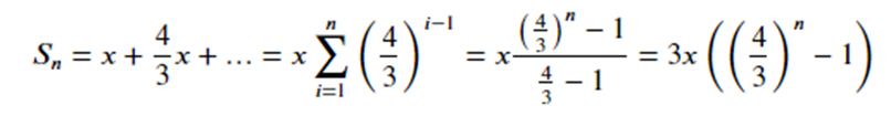
Вопрос нетривиален, в силу того что периметр у снежинки бесконечен в пределе. Посчитаем, сколько пробежит заяц по истечении n ≥ 0 единиц времени:

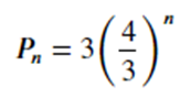
Вычислим периметр сразу после n-го роста снежинки. За каждую итерацию периметр увеличивается в 4/3 раз, поэтому:

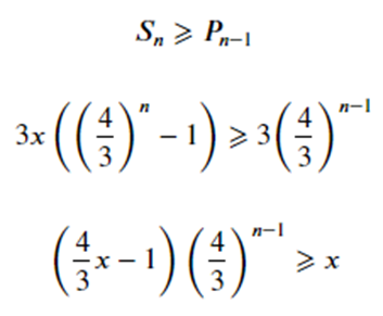
Заяц успеет обогнуть снежинку, если для некоторого n > 0 расстояние, пройденное зайцем будет более длины периметра до его n-го увеличения, то есть если для некоторого n верно:

Приведённое неравенство имеет решение для некоторого n > 0 тогда и только тогда, когда коэффициент при экспоненте более нуля, то есть при x > ¾.