Квадратный корень. Типичные ошибки
Александр ИвановОбсудим свойства квадратного корня (определение понятия приведено в соображении 10). Сразу скажем, чтобы постоянно к этому не возвращаться, что далее «работаем» на множестве действительных чисел, про комплексные числа пока не вспоминаем (это на случай, если найдутся любители делать «ценные» замечания).
Тупо зазубрить математическое определение-плохая идея. Как только фокус вашего школьника переключается с пройденной темы на другую, то зазубренное определение вылетает из головы и даже самое простое задание может быть решено неверно.
99% школьников на вопрос: «Почему квадратный корень – величина неотрицательная?» отвечают как угодно. Ответ: «По определению» или чуть более развернутую его модификацию: «Глупый вопрос. Мы так договорились, квадратный корень неотрицательная величина по определению» - почти никто не приводит.
Тут же возникают типичные ошибки, например, часто пишут так (Рис.1):

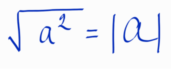
Вместо записи, которая сразу следует из определения (Рис.2):

Дальше-больше. Очень многие десяти-одиннадцатиклассники сильно удивляются, когда им сообщают, что такое простое и, как они считают страшно хорошо знакомое соотношение, оказывается неверным (Рис.3):

И, оказывается, правильно следует писать так (Рис.4):

Преобразовывая корень из произведения, почти никто не задумывается, что произведение положительно или равно нолю не только тогда, когда его сомножители одновременно положительны или ноль, но и когда они одновременно отрицательны или ноль и радостно пишет неверное соотношение (Рис.5):

Вместо того, чтобы снова подумать про модуль (Рис.5).

Мы знаем, что понятие квадратный корень – базовое в школьной математике. Очень многие, к сожалению, умудряются допустить ошибку на пустом месте.
Основных причин две. Первая: не нужно зубрить, нужно понимать и вторая: нужно приводит знания в систему, а не пытаться тупо натаскаться.
Проверьте, по какому пути идет ваш ученик, выдав ему следующее задание (Рис.6):

Решение задания:
Итак, продолжаем приводить знания в систему. Об этом в следующем соображении.