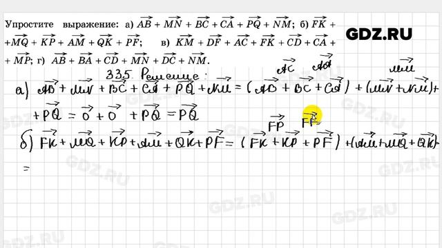
572 геометрия 10 класс атанасян
Задача на крутящие моменты
Статистика работы приложений
Получить аккредитацию медицинской сестры
Положить монеты на счет
Боль в коленном боку
Игра убрать слово
5 3 х 135
Установить приложение банк зенит
Номер телефона автовокзала города тольятти
Презентация 4 класс математика вокруг нас
По омс выбрать врача
Игра погода ответы
Сайт решу впр 5 класс математика тип
572 геометрия 10 класс атанасян 116 фотографий

















































































































