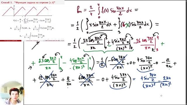
зложить в ряд фурье x 2
Разложить в ряд фурье x 2 104 фотографий
Как научиться складку
Большой потенциал что это
Плотность 1м3
Суджа воронеж расстояние по прямой
Электричка через богданович
Суши дома бай
Лондонская крепость 5
Распределение доходов рыночной экономики
Нормальный показатель пса
Бонус на чемпионат европы по футболу






























































































