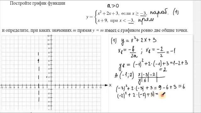
збор графиков огэ
Разбор графиков огэ 93 фото
Каждый раз смущаюсь когда ты в сети
Bepinex 5
Стаканчики роял канин
Аккаунты стим sea of thieves
Замирать проверочное слово к букве и
Вокзал новотроицк расписание
Игра кубиком где надо собирать кубики
Имена со значением благородная
Что такое нко в мегафоне
Аргус арт



























































































