я тригонометрических выражений егэ
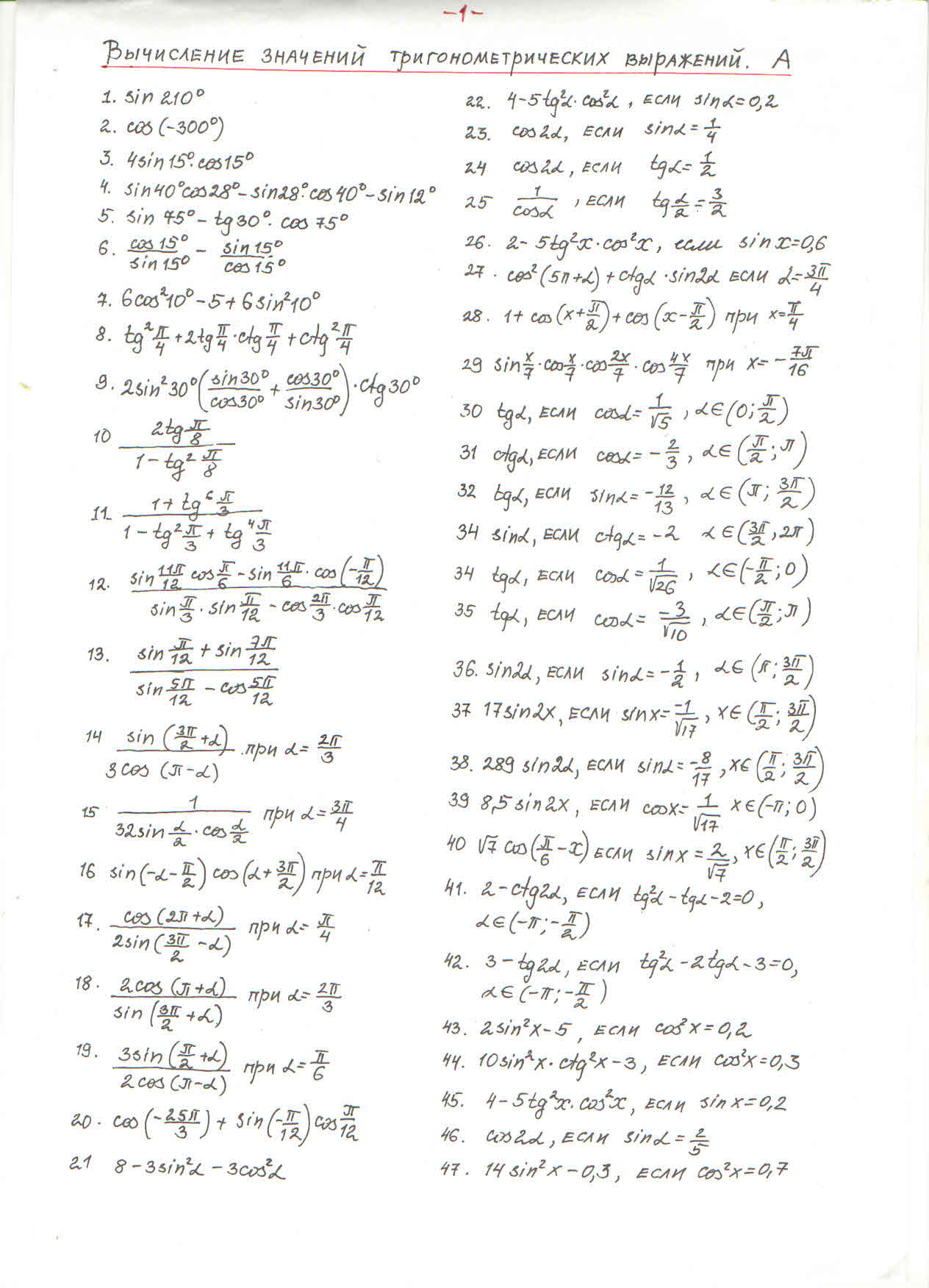
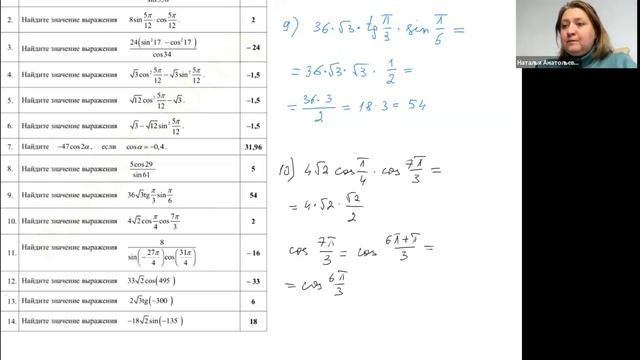
Значения тригонометрических выражений егэ 102 фото
Дерево которое не гниет
Ростов 161 айфоны
Жоэквара фото
Как убрать всех ботов в кс 2
Острогожская 164 4
Общий белок снижение причины
О чем эта пьеса
Маск империя комбо 25.07
Что делать если укачало на аттракционах
Вентиляционные шахты из оцинкованной стали




































































































