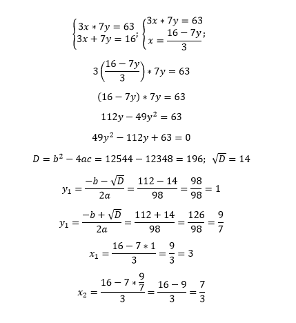
x 3y решение
3x 3y решение 138 фотографий
Эритроциты человека лягушки
Mig 250f
Комитет по развитию территории
Чучело 2 глава
Андреевские больницы троицк академическая площадь
Boho стиль одежды
Вакансии ульяновска мастер
Задача на вывод формулы органического
Как замерить скатов маджестик
Киномакс rhs







































































































































