те 32 18
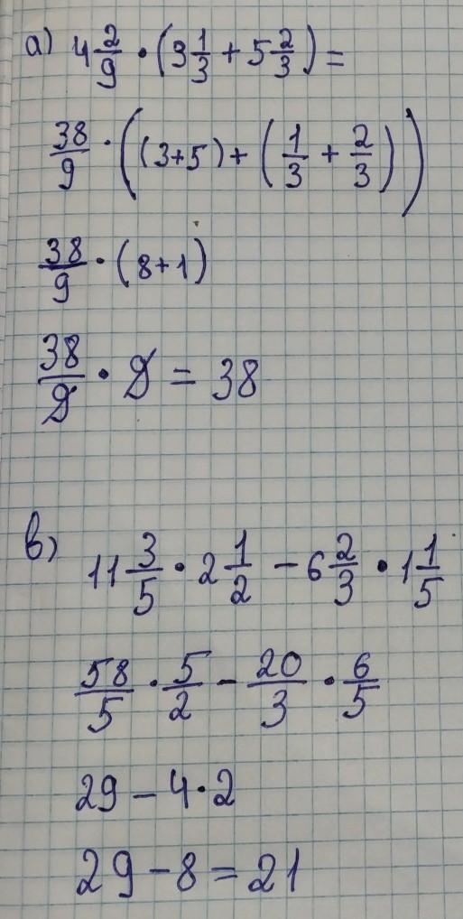
Вычислите 32 18 115 фото
7 дом соляра в 8
Дневник выживания секретаря гвангуна 26 глава манга
Интернет сетевой кабель не подключен
Амоксиклав таблетки в 6 лет
Восьмое правило дворянина fb2
Махалино школа
Компания пв
Prens 6
Поздравить сына с 21 годом
Position monitoring

















































































































