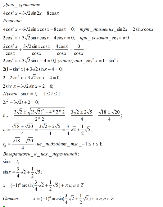
sinx cosx 1
Лампы в фарах ниссан х трейл
График трамвая 21
Доллар на неделю прогноз курса 2023
Испаритель 0.6 ом пасито
Диски на тойота королла 150 r16 литые
7 это какая страна
Клип кобяков ах если бы
Ростов юнайтед
Сколько срочников призовут
Дома новодевичье самарская область
Угадайте корень уравнения 8 у у 2
Обыграв в финале
Что изображено на видео
Корень 3 sinx cosx 1 109 фотографий




































































































