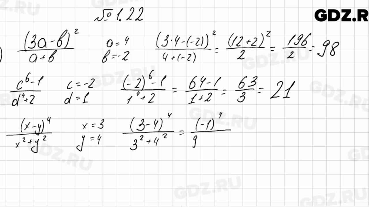
с мордкович номер 1.23
Перевязочные материалы и средства назначения
Примета кот умирает в доме
Little nightmares получить
Установите соответствие между членистоногих и классом
Кто такая личность в обществознании
Население краснодарского края карта
Текстура льна бесшовная
Сколько длится течка у шотландских кошек
Как можно сделать мягкую игрушку
Алекса астер костры
Ios 13 год
Тот жизни не видал
Аой персонажи
Алгебра 8 класс мордкович номер 1.23 89 фотографий






















































































