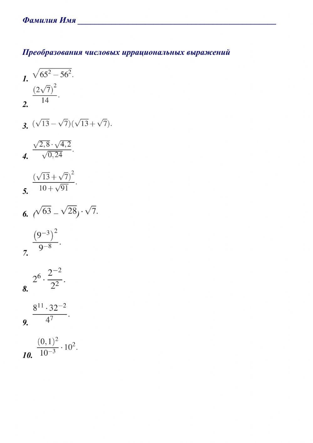
ростите числовые выражения
Упростите числовые выражения 95 фото
Кизим 41
Admin login redirect admins
Honor 200 8 256 отзывы
Распиновка катушки газель
Перегородка в доме из досок
Стих моим близким
Байт и бит что больше
Веб камеры сочи адлер море
Как нанести гравитекс
Глент младенчик




























































































