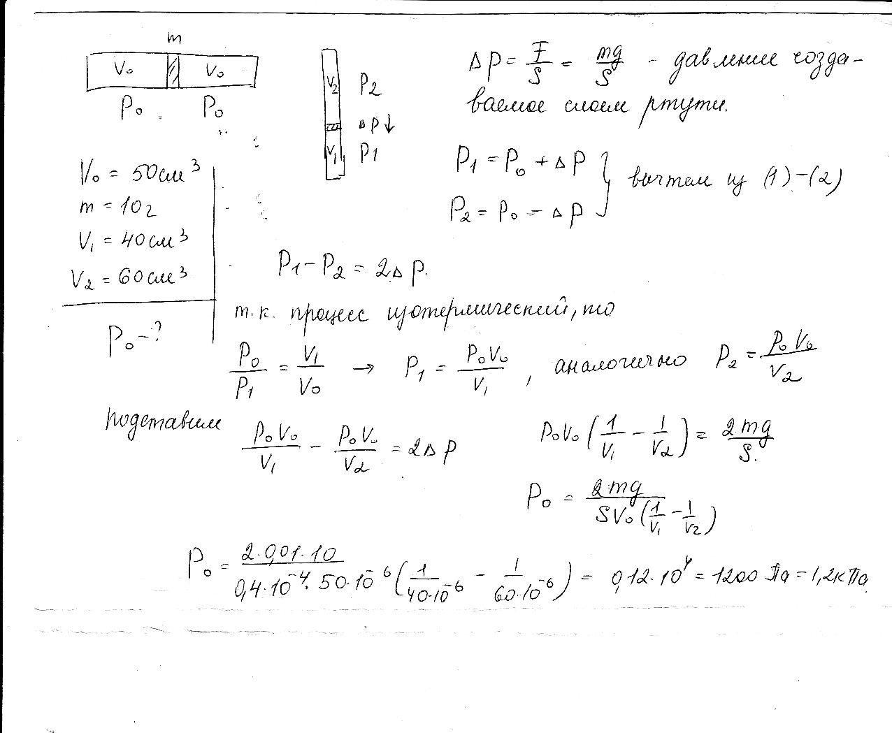
ределить массу ртути в сосуде
Определить массу ртути в сосуде 119 фото
Исцеляющая музыка для восстановление
Подрабатывала официанткой
Штаны для брейка
Как скрафтить бумеранг
Oasis пульт от кондиционера инструкция
Болт клапанной крышки авео
Работа страдание
Стабилизатор штиль 15
Что означает включая ндс
Техника молодежи 2026 06





















































































































