простить выражение 7 класс мерзляк
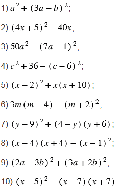
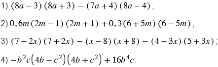
Упростить выражение 7 класс мерзляк 119 фото
Mira 15
Сложноподчиненное предложение с союзом и запятая
Ромашка талица
Кольцо малой железной дороги
Термомикс инструкция
Завод ор луганск
Оранжевое небо 2026
The more москва
Andis для собак
Cps в рекламе





















































































































