ор дви мгу 2026
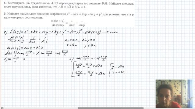
Разбор дви мгу 2026 104 фото
Автосалоны на мкаде на карте
Вакансия в городе щелково
Университет технологии и энергетики
No rules love
Джумаев национальность
Золотистый ретривер питомник щенки
Состав бюджетных отношений
С чего начать начинающему исполнителю
Какими программами проверить пк
Программы магистратуры в спбгу






































































































