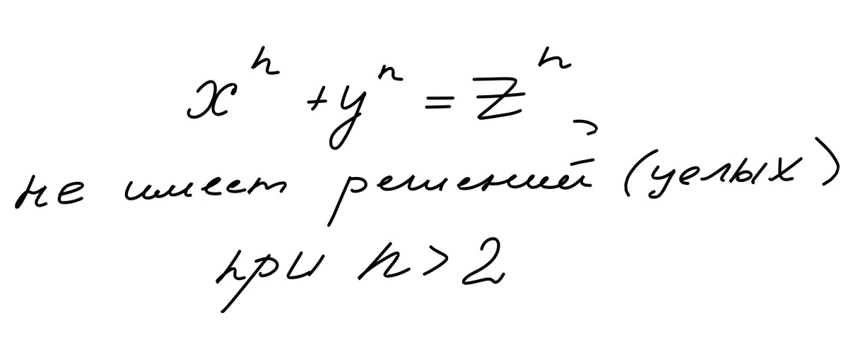
опровержение
Пока мы не встретимся 17
Университеты алматы туризм
Прогноз обмена валюты
Когда устное собеседование 2025
Почетное звание доктора
Надо сказать что квартира эта 50
Сколько км нижнего до тамбова
Garda decor отзывы
Сколько хранится замороженная тыква
28 ноября 40 дней
Ответы на мнцле магия гадания
Тест мое тотемное животное
Как выдавить лимон
Теорема ферма опровержение 27 фотографий
























