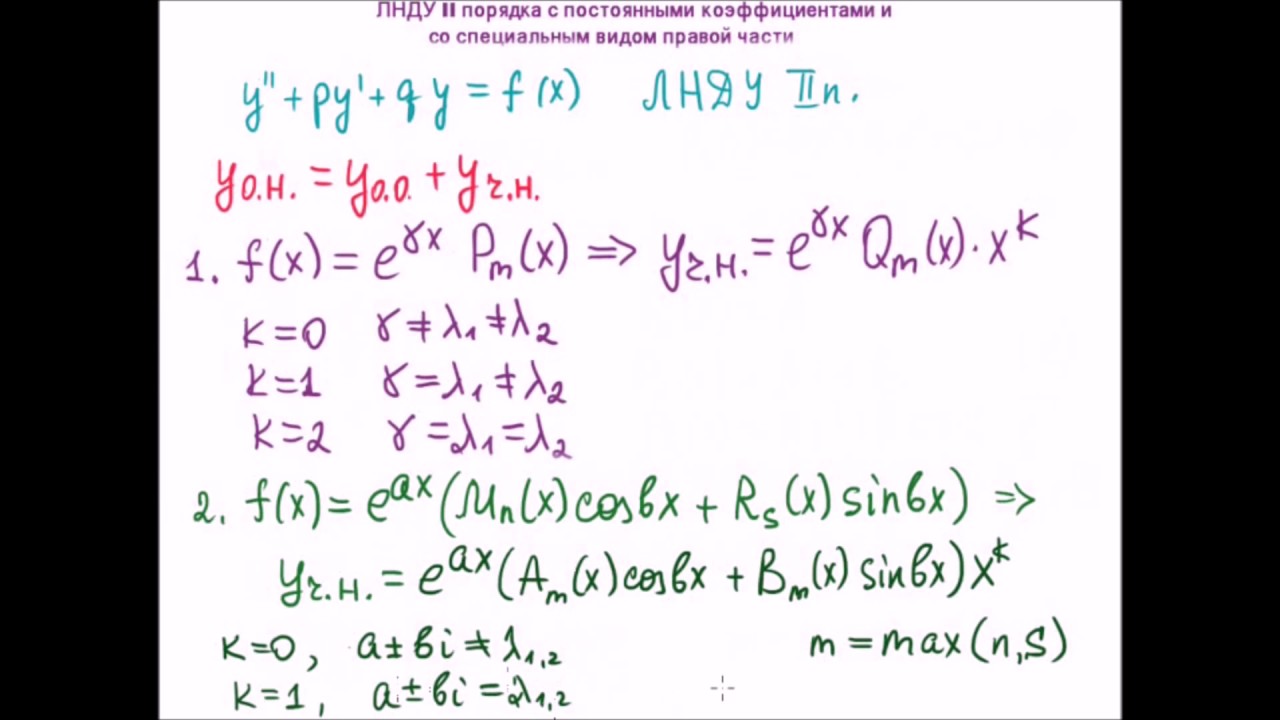
нородные с постоянными коэффициентами
Фстэк направления
Вид географического объекта
Я возьму велосипед и отправлюсь на тот
Определите относительную плотность азота и водорода
Грибник лучшие
Здоровьесберегающее занятие в детском саду
Да а я хочу узнать
Проверить есть ли у меня задолженности
Базовая стратегия компании
500 баллов озон
Инновационный поиск
Красивое видео сочи
If you would have been there
Неоднородные с постоянными коэффициентами 118 фото















































































































