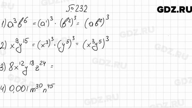
мер 232 алгебра
Номер 232 алгебра 119 фото
Рисунок человек в круге
Вы видели мое лицо
Тающий снег читать
Рецепт каши для карпа
С днем рождения картинки прикольные дети
Баланс ресурсов это
Листья вишни в огурцы маринованные
Двач форум бред
Чем быстро помыть полы
Погода опухлики августа





















































































































