ляющее
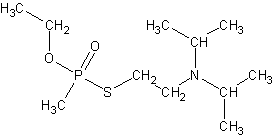
Vx отравляющее 95 фотографий
Модификатор функций
1 6 м это сколько см
Девушка и два парня поют песню
Подросток купается в ванне
Разделение смесей презентация 8 класс
Как переводить собаку на взрослый корм
Законодательство в сфере профессионального образования
Коле бордер
Картинки хомяк 18
Год 2026 как встречать и что готовить



























































































