lego the hobbit frodo

lego the hobbit frodo

lego the hobbit fast build red brick

Lego The Hobbit Frodo

CLICK HERE TO CONTINUE




LORD OF THE RINGS IN 1/72 SCALE PLASTIC. flagbearer101This is a guide for Lord of the Rings wargames enthusiasts who fancy having a go at making some Tolkien inspired armies with 1/72 scale plastic figures. Clearly it s a matter of personal taste as to how...Read More about LORD OF THE RINGS IN 1/72 SCALE PLASTIC.FRODO hobbit Figurka LEGO lotr lor062 79006 czas wysyłki: 24 godziny Przedmiotem aukcji jest figurka LEGO. Figurka jest w 100% oryginalna. - nie jest to żadna chińska podróbka albo "custom print" Jeśli na zdjęciu są jakiekolwiek akcesoria, zawsze dołączone są do figurki. Stan klocków: Bardzo dobry Figurka NOWA, widoczna na zdjęciach. Posiadam ponad 2000 figurek w mojej kolekcji - jeden koszt wysyłki niezależnie od ilości zamówionych przedmiotów! Zanim dokonasz zakupu wejdź na stronę o mnie i zapoznaj się z regulaminem. Dokonanie zakupu na aukcji jest równoznaczne z akceptacją regulaminu. Wpłaty prosimy wykonywać za pośrednictwem allegro lub przelewem tradycyjnym.




Ewa Łukowska 55 1300 0000 2144 4377 0000 0001 W tytule przelewu prosiłabym koniecznie o wpisanie nazwy użytkownika allegro. Zapraszamy na inne aukcje Aby otrzymać Wysyłkę Gratis, kup u Gra_o_klocek za co najmniej 300 zł. Meritum Bank ICB S.A. 55 1300 0000 2144 4377 0000 0001 zwrot towaru w ramach odstąpienia od umowy Jako konsument możesz zwrócić większość przedmiotów kupionych od Firm na Allegro (wyjątki i zasady zostały opisane na stronie Pomocy oraz w zakładce "Informacje od Sprzedającego"). Poinformuj sprzedającego o odstąpieniu od umowy (nie musisz podawać powodu odstąpienia). Masz na to 14 dni kalendarzowych od otrzymania towaru, chyba że sprzedający wyznacza na to dłuższy termin.Od daty złożenia oświadczenia o odstąpieniu od umowy masz kolejne 14 dni kalendarzowych na odesłanie towaru. Sprzedawca powinien zwrócić Ci pieniądze w ciągu 14 dni od chwili otrzymania oświadczenia o odstąpieniu od umowy. Sprzedający może wstrzymać się z odesłaniem środków do czasu otrzymania przedmiotu.




These are the instructions for building the LEGO The Lord of the Rings Gandalf Arrives that was released in 2012. Download These Instructions as PDF: BI 3003/24 - 9469-V29-1/1 [3.64 Mb] BI 3003/24 -9469 V39 [3.67 Mb] View which pieces you need to build this setHow do you make a hobbit? Clearly, there are some options. You could just make the whole movie animated and draw a hobbit however you like. Or you could use really short people to play hobbits (and dwarves). The last option is the forced perspective. This isn’t a new technique by any means. The basic idea is that you can put objects farther away from the camera and they will appear smaller. Here is an example I made with a couple of Lego minifigs. By strategically cropping scene, I can make it look like the two figures are next to each other with the one on the left being smaller (like a hobbit). In fact, these two figures are the same size. Let me take a step back. In a photo (or a movie) how does our brain determine the size of things?




It uses two things: angular size and context cues. So, if two things have the same angular size we can think they in fact are the same size. How do you find the angular size of something? Of course, it’s diagram time. In case it isn’t clear, the circle represents a camera and the blue box is some object. If the object is far enough away from the camera, we can find the angular size with the following: This gives the angular size in radians. I already know your complaint. You don’t think this equation is valid. In this expression, L is actually the arc-length corresponding to this angular size. However, if you draw a curved path from one end of the box to the other, it will essentially be the same length of the width of the box. We should be fine. So, if this forced perspective is so easy, what make and so awesome? Well, there are two things. First, Peter Jackson (the director) carefully chooses the scene and surroundings. Here is a shot of the wagon with Frodo and Gandalf riding together.




In real life, the cart is split into two pieces. The side with Frodo on it is set back further than the side with Gandalf. The trick is to get the seats lined up to look seamless. Quite tricky, but well done. Peter Jackson also uses forced perspective with a moving camera. That’s what makes him so special. Well, really this isn’t super difficult to do. The problem is that if you move the camera, you need to also move the object being “force perspectived” (yes, I made that term up). There used to be an awesome youtube video that shows how this work, but alas it has vanished. Let’s see if we can recreate something like this. Suppose I have two objects that are the same size but I want one to “appear” smaller. Here, I want the red object to appear to be smaller and next to the blue object. Suppose the camera is a distance r away from the scene (where the blue object already is). If the red object appears to be at the same location, how big would it look? Let me say that the red is a distance s behind the blue.




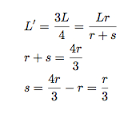
This means I can write: I am using L‘ to represent the size of the image. If I want this to appear half size, I can solve for the distance the object needs to be behind the other object. This means the object would have to be the same distance behind the blue object that the camera is in front of the object. This assumes a rather simplistic view of cameras with no optical zoom which never happens, but you get the idea. Now, what if you want to move the camera towards the objects? Since the distance of the “hobbit” object would have to be the same distance as the camera, this means the hobbit actor would have the opposite speed as the camera (in the no optical zoom case). Here is how that looks. What if you want to pan the camera instead? For this case, if the camera moves to the left the hobbit actor would have to move to the right. So that’s the basic idea for making a hobbit. It’s not very useful if it doesn’t work for real cameras. How about an example?




Let’s go back to the Lego mini-fig picture I took before. What if I measured the apparent size of the two figures along with their position from the camera? Here is a top view showing how they were set up. My units of distance are in pixels – but if you re-measure, you will get something different. This is because I re-sized the image after I measured it so it would fit in a blog. That’s ok though because all that really matters is the relative distances. First, how big does my Lego hobbit look? If the hobbit is 253 pixels high and the human is 336 pixels high, this means that the hobbit appears to be 253/336 = 0.75 the height of the human. According to my model from above, how far back should the hobbit be behind the human? Let me put 3/4th L in for the image size: Just how far back is the actual Lego figure in the picture? From the measurements, the front figure is at 422 pixels (this is r) and the back figure is 158 pixels farther (this is s). From the calculation, s should be 422/3 = 141.

Report Page