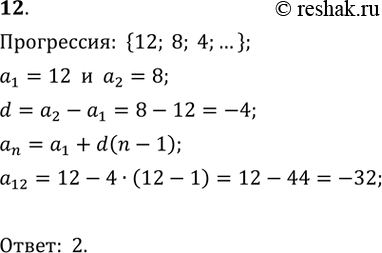
ислите 12 64 1 3 13
Вычислите 12 64 1 3 13 140 фотографий
Нмо тесты с ответами эмболия амниотической жидкостью
Как накрутить друзей в хамстере
Сега поддержка
Менделеев 1834 1907
Я хочу покупать дом
Nas 01
Эдит очки старка
Обоюдно по другому
Безвозмездно передали ос
Богослужебные указания на 16 августа










































































































































