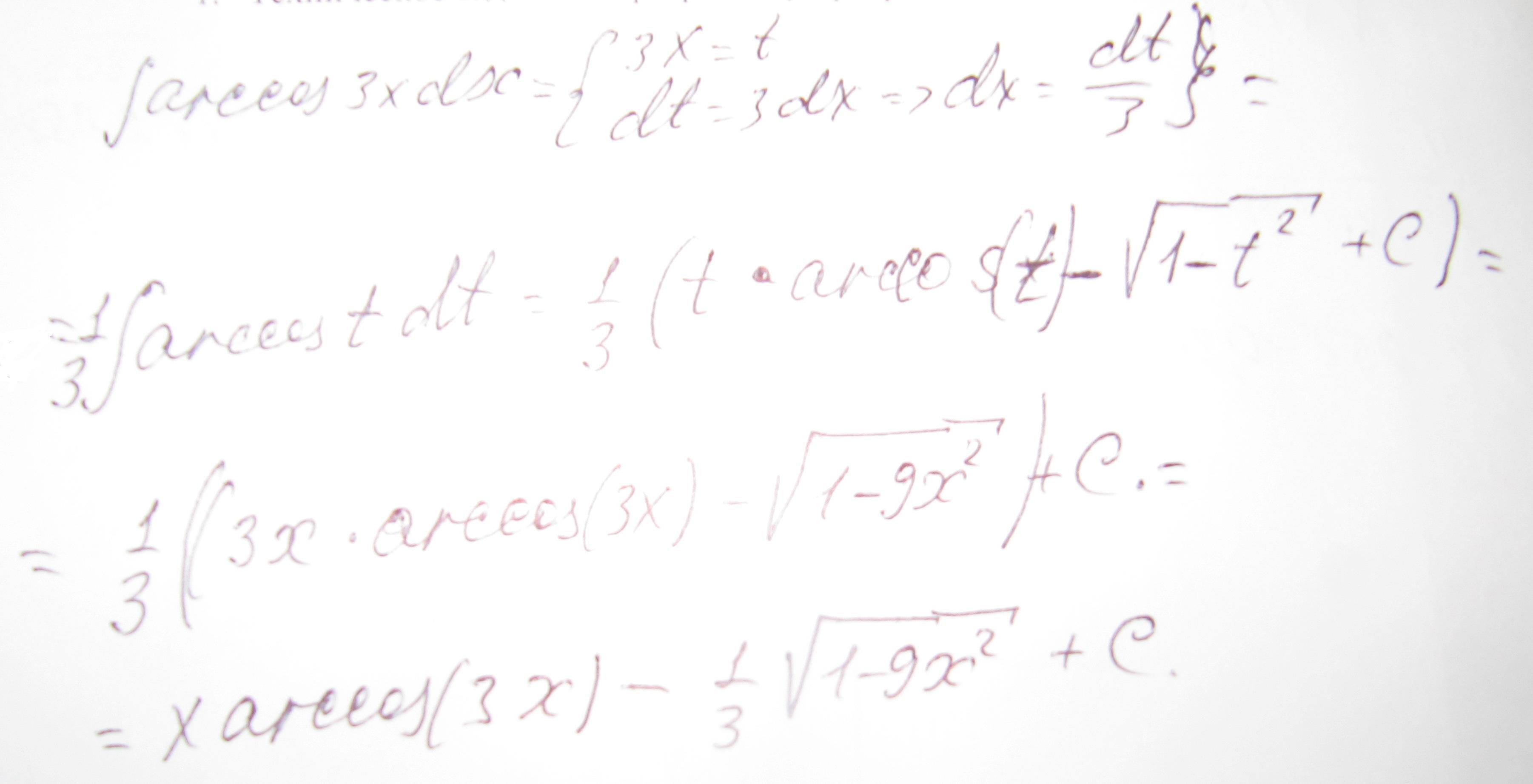
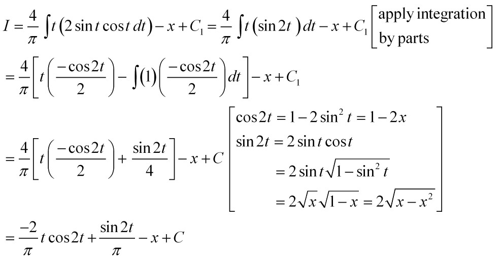
грал arccos
Модели для пополнения портфолио
Что значит художественный рассказ
Заявляют ходатайство в арбитражном процессе
Золота world of tanks
Буряты свадьба
Прогноз погоды в ивангороде на сегодня
П я гальперин с л кабыльницкая
Кзс рост 3
Оаэ отели аджмана 5 звезд
Полезное утро 78 канал выпуски
Pubg background
Гостиницы в городе кисловодске
Слушать море говорит
Интеграл arccos 86 фотографий




















































































