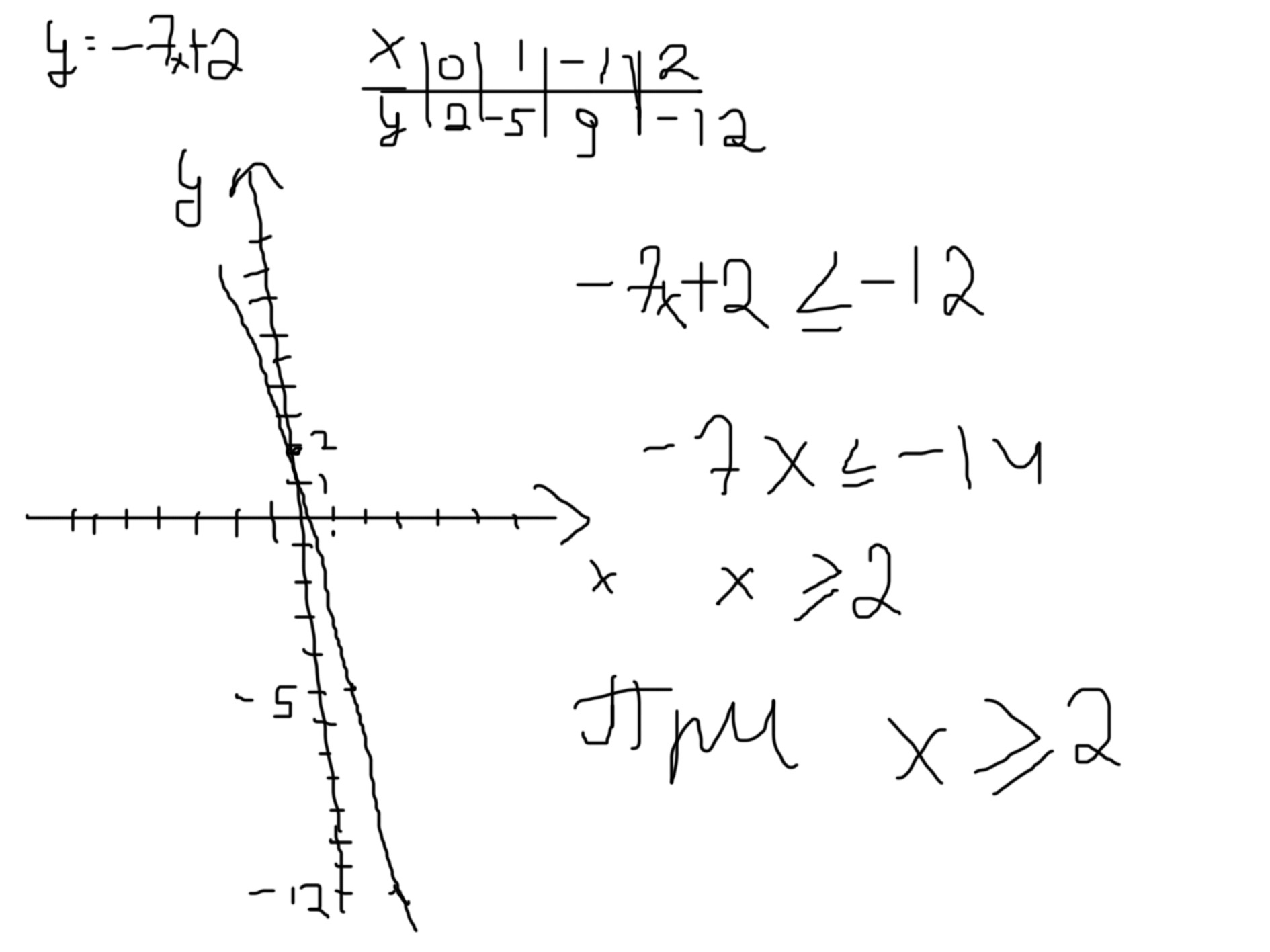
е график y 7x
Постройте график y 7x 116 фото
Велосипед от 8 лет для мальчиков
Планшет с сим картой для интернета 4g
Музыка не мажик
Хлебопечка самая простая
Косметологические процедуры что это
Погода максимихе бурятия на август
Gx ranger
Гниют кабачки вершинная гниль
Несуществующее время
Easy code school


















































































































