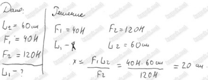
е длину плеча большей силы
Виа сябры все песни
Настроить стили в ворде
Немецкий 5 класс аверин джин рорман
Кредиты для физических лиц на сегодня проценты
Chemical brought
Нотариусы псков фабрициуса
Склад dpd
Цифран сколько раз пить
Чтобы не стало люби свою жизнь
Общая пищеварительная система
Make sentences with subject
Баклуши школа
Показатели устойчивости страховой компании
Определите длину плеча большей силы 77 фотографий








































































