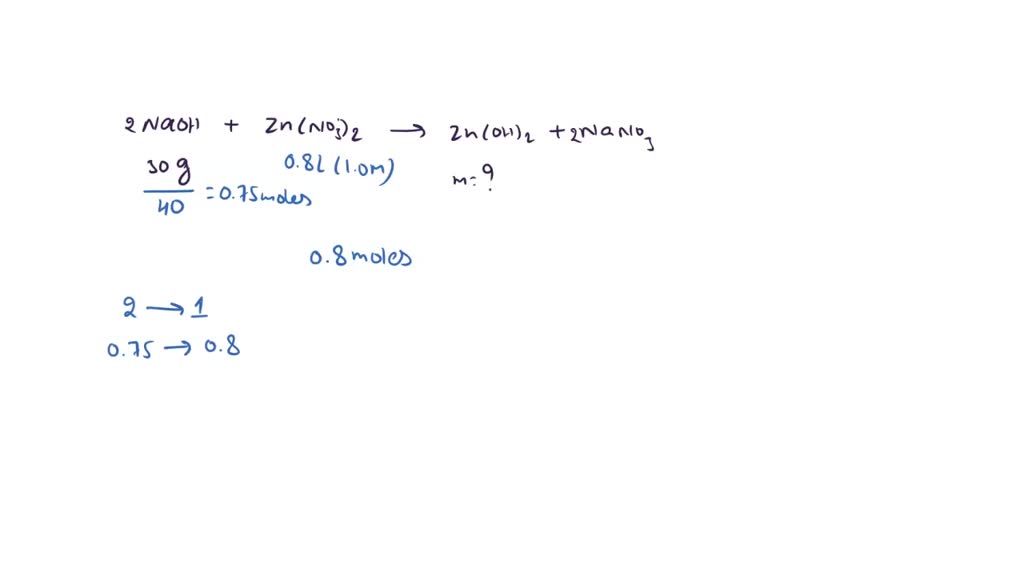
Znno32 zno
Салливан мем
Свежие новости мчс
Что сейчас происходит в моей жизни
Как будет по английскому блок
Chicago 25
Жена актера рона уизли
Ауди а6 aga
Автомойка в северном
Конкор состав таблетки
Java условия в циклах
Essence пудра рассыпчатая fix
Рассчитайте объем ацетилена который
Армата сравнение
Znno32 zno 105 фотографий







































































































