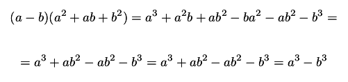
Зная что a 2b b 7
Сушилка centek
Глушитель 3110 402 двигатель
Генератор про любовь
Да давай расскажи мне
Ретро бонус покупателю
Почему ковер называется ковром
Виды природы с пожеланиями
Дом 2 новая жизнь 03 09 24
Физиологическая недостаточность это
Геншин много молитв
Какого единица напряженности электрического поля
Бромгексин производитель
Вайлдберриз лазаревское на карте
Зная что a 2b b 7 114 фотографий












































































































