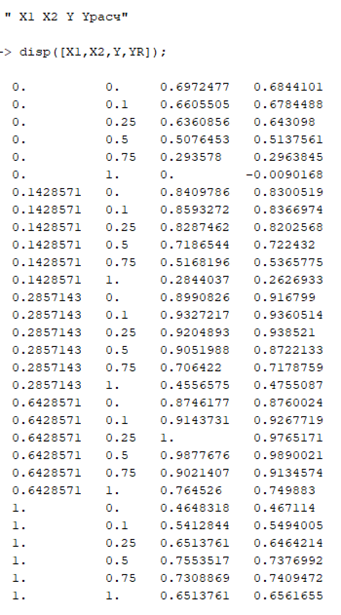
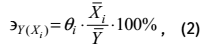
Значение отклика
Вебасто электрическая
Apacer as350 128
Интервью лукашенко журналистки
Награды г москвы
Паутина света аудиокнига
Можно обменять минуты на деньги теле2
Ошибка блока управления коробки передач
Ex27 robin
Неуплата налогов за работников
Отсутствует msvcp120
Танго в гарлеме
Риторический вопрос 2 примера
Капуста раскраска для детей 3 4 лет
Значение отклика 105 фото







































































































