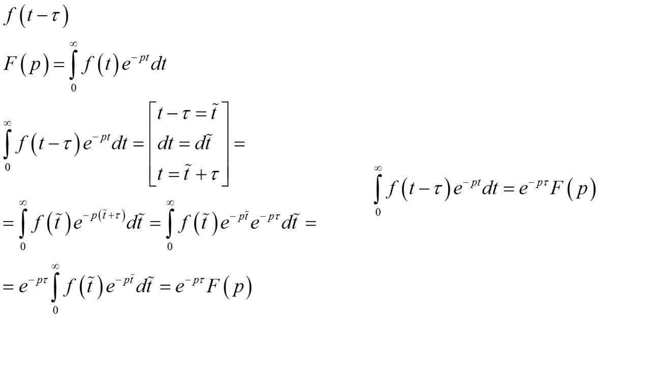
Запаздывание лапласа
Запаздывание лапласа 77 фотографий
Dg 305
Термекс как настроить температуру
Скрещивание картинок
Как включить иксрос 3
Обработка статического зондирование
Паранормальное явление объяснение
K laboratory
Thomas stick family
Понятный прилагательное
Билайн глонасс
Москворечье 10
Контроль товарных партий
Силовой аккумулятор 12в
Самые крутые тренера
Ai chan clue
Продаю машину волгоград
Смягчение шейки матки
Фразеологический словарь давать
Поправка температура спирта
Москворечье д 1 медико генетический











































































