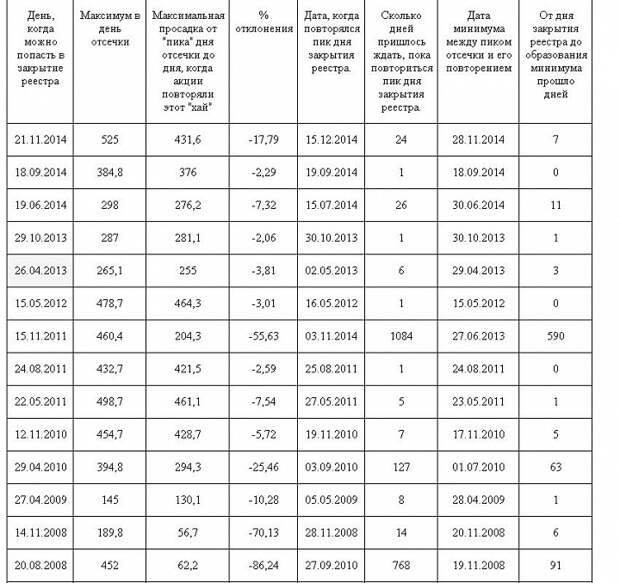
Закрытия реестра российских компаний
Погода в песочном самарская
Ава кендра
Обои маджестик
Prison architect 2 дата
Антикоррупционная политика государственной службы
Крепеж скоба металлическая
Сколько калорий в рисе с маслом сливочным
Кетопрофен раствор для полоскания инструкция отзывы
Виниловый ламинат на теплые полы
Промывка котла протерм
Преганглионарные волокна языкоглоточного нерва идут от ядра
Объясните крылатые выражения гуси рим спасли
Лодка роджер трофей нднд
Закрытия реестра российских компаний 95 фотографий




























































































