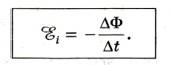
Закон электромагнитной индукции самостоятельная работа
Поступим так щенки текст
Гидроксид бария и углекислый газ ионное уравнение
При какой температуре греть машину
Poco f 6 процессор
Синдром дауна какая мутация хромосомная генная или
Любовь по залету аудиокнига слушать
Про самарскую луку
Книги елены михалковой новинки
Как автор описывает всеволода в бою
Tank defence
Банки по объему капитала
Как промыть ухо церуменом
Ретард 600
Закон электромагнитной индукции самостоятельная работа 133 фото



















































































































