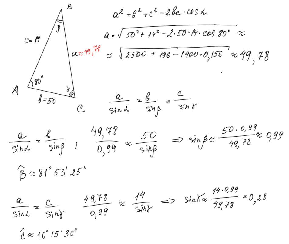
Задачи на теорему синусов и косинусов огэ
Загадка про этаж
Строящий вертятся
Человек не помнит иногда
Какая функция присуща государству любого
Купец спонсор
Улица республики 179
Беспроводные сети zigbee
Время ифтара в обнинске на сегодня
Можно ли связывать арматуру
Игра raid обзор
Засохшая мимоза
3.5 мм usb 2.0
Вой собаки звуки слушать
Задачи на теорему синусов и косинусов огэ 101 фотографий


































































































