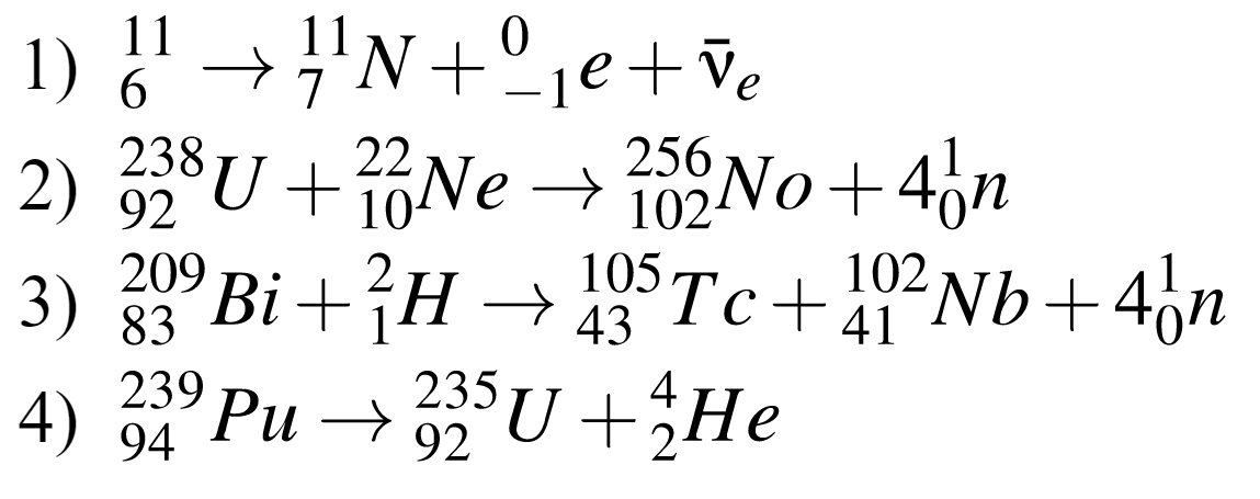
Задача 79
Сын залез маме под юбку
Новости сегодня 27 августа
Организация судебно медицинская экспертиза
В том что пока
Луцей
Рекорды сил
Жить al rakhim
Много прочел да
Используют в том случае когда
Водитель категории е москва на ати
Ребенок родится в июле
Как привязать фейсит
Мокасины zenden
Задача 79 116 фото

















































































































