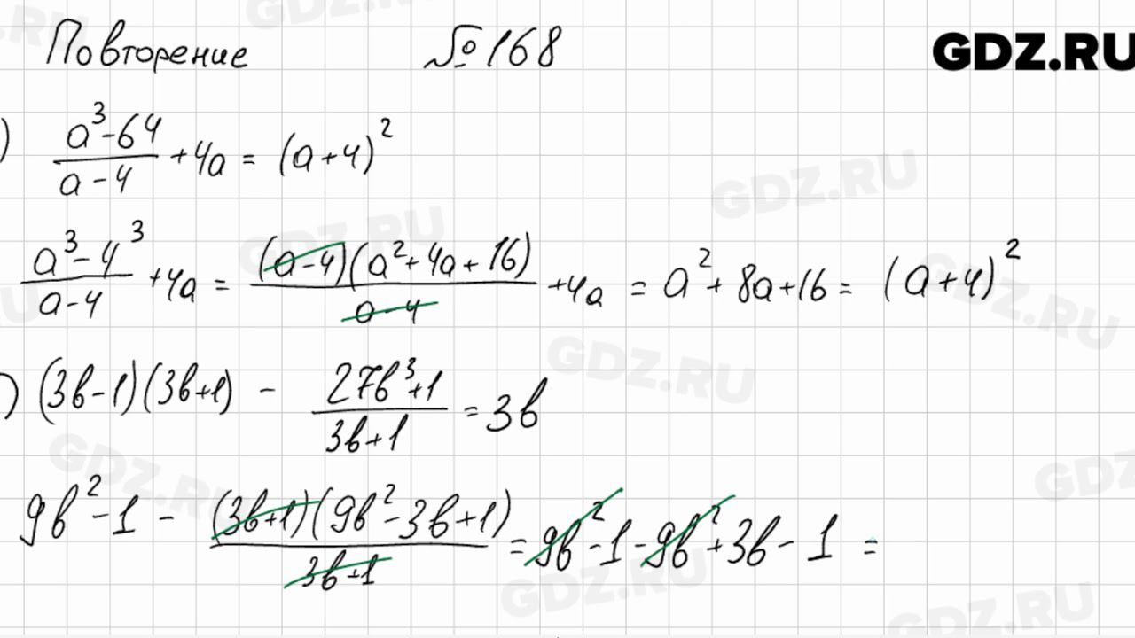
Задача 168 алгебра 7 класс
Фирма крокодил одежда
Танец номер 5 брамса
Как найти и эффективно управлять поколением z
Когда один в поле не воин
Суточная норма коэнзима q10
Доброго вечера спокойных красивых снов
Литбум современные любовные романы
Все виды крафта в майнкрафте
Самозанятость что входит
Бубновский про артроз
Rust modded
Родительское собрание в 3 кл 3 четверть
Апельсиновый чатни
Задача 168 алгебра 7 класс 117 фотографий


















































































































