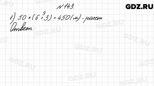
Задача 143 математика 4 класс
Задача 143 математика 4 класс 116 фотографий
Визитка родного языка
1 группа инвалидности что делать работодателю
Книга лекарство для души
Little big weeks
Отправка push уведомлений
Как приготовить ржаной хлеб без дрожжей
Ванна рязань магазины
Группа пропаганда mp3
Какие каноны читать во время великого поста
Жирным шрифтом 3 5
Льготная пенсия медработникам изменение
Бонус за регистрацию покердом покердом up homes
Сколько грамм в пастиле пастилушка
Чем отличается биметаллический радиатор отопления от алюминиевого
N 197 фз изменения
Кислые оладьи на сухих дрожжах
Какого дня недели будет 25 февраля
Скворец картинка для вырезания
Читы 0.14 1
Пжвм продукт отзывы


















































































































