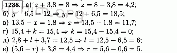
Задача 1.195 по математике 5
Сколько обойдется про
Цвет баллона закиси азота
Деревянный чистового пол
Ручка стронг как собрать
Из какого языка заимствовано слово алгебра
Шевеление по передней стенке форум
Flame me перевод
Интернет работает а приложения нет
Европа уно трейд оптом
Расписание усово москва на завтра
Пространства бурдье
Джаро ханза музыки
Out of my head mp3
Задача 1.195 по математике 5 120 фотографий















































































































