Задача 1
September 13, 2024
Задача 1
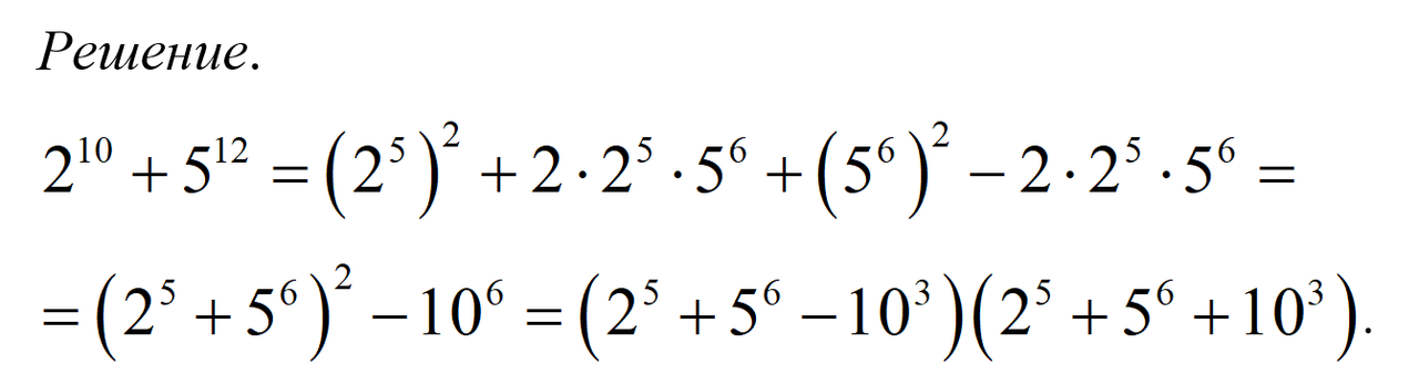
Докажите, что число 2¹⁰ + 5¹² — составное.
Математическая эссенция
Report Page
Violence
Child Abuse
Copyright
Illegal Drugs
Personal Details
Other
Please submit your DMCA takedown request to
dmca@telegram.org