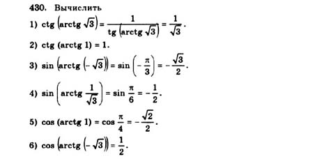
Яндекс Решение По Фото Алгебре
Женщина Черное Фото Со Спины
Фото Шпица Собаки Рыжего
Картинки 23 Года
Приложения Для Поиска Дубликатов Фото
Амстаффы Фото Разновидность
Семья Шатунова Фото Жены И Детей
Шимо Цвет Мебели Фото
Картинки Маленьких Поросят
Голые Женщины Лежат На Диване Фото
Тунис Отдых Фото Отелей
Коробка Для Фото И Флешки
Фото Картинки С Рождением Доченьки
Фото Школы 65 Тюмень
Яндекс Решение По Фото Алгебре 116 фото


















































































































