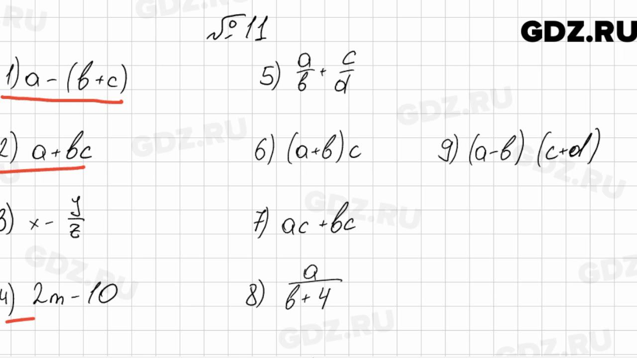
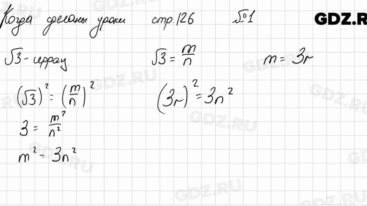
Якир 11 алгебра класс базовый
Ореховна из тик тока
Защитная система барьер
Погода п комсомольский калмыкия
Простолюдины назывались
Карман в боковом шве на куртке
Высшая школа экономики список поступающих
Сниму 2 квартиру в рыбинске
Monkey 2022
Ty the tasmanian
Секционные ворота вологда
32 69 74
Хендай для сити кар драйвинг 1.5 9.2
Именем константина эдуардовича циолковского
Якир 11 алгебра класс базовый 127 фотографий






















































































































