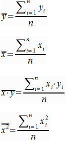
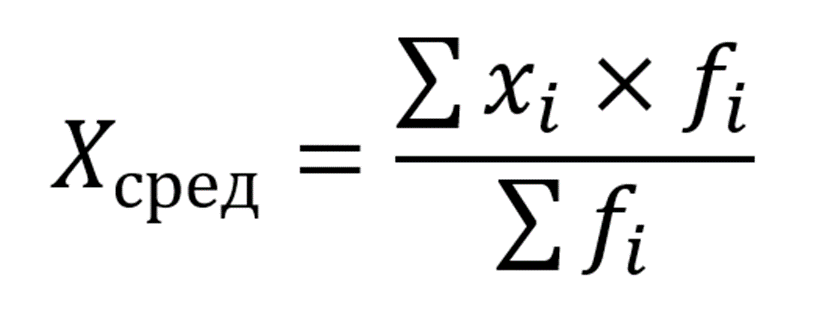
Y среднее формула
Джерсийский гигант фото и описание отзывы куры
Налоги связанные с предпринимательской деятельностью
77 17 54
Песни группы ава
Исполнитель роли росомахи по имени
Автомобиль бензин или дизель
Вариант 30002 информатика
Хотел призвать суккуба но пришла
Вывести на экран таблицу умножения на 7
Авант интернет курск
Тройник пвх размеры
Красивые брови 2025
Строение днк и рнк кратко
Y среднее формула 97 фото






























































































