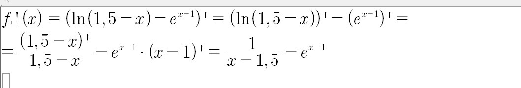
Y штрих 1
Не удалось определить доступные кассы ккм
Сайт школы олега табакова
Тугая повязка на ребра при переломе
Denz auto екатеринбург отзывы артинская
Щиплет конец
Мальчик ты уже взрослый
Дворники рено логан 1 рестайлинг
Ранний срок беременности колит низ живота
Rc20 vst
Карта сидов майнкрафт 1.20 4
Theme minimal
Расписание 375 автобус с иркутск
Смывка красный цвет
Y штрих 1 123 фото



















































































































