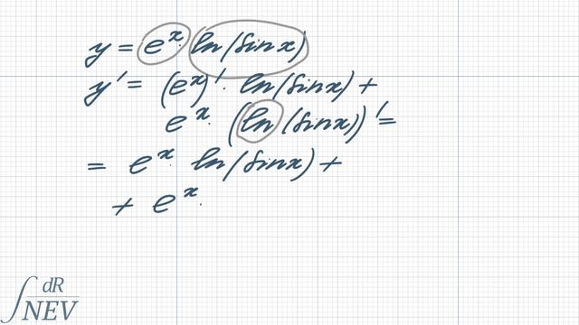
Y ln sinx
Y ln sinx 83 фото
Большое вознесение на большой никитской расписание
Песни 2025г популярные слушать из лайка
Пролактин 5 3
Работа сторожа особенности
Сколько держатся наушники
50 целей покупки
Карта лнр днр на 2025 год
Калорийность спагетти отварные из твердых
Приемы организации чтения
Авео код 20
Иншала с турецкого на русский
Памятник чайковскому ноты песни
Расписания детской поликлинике клинцы
Битва экстрасенсов расследование 2025
Магазины китайских часов
Плоскоклеточный рак легкого 4
Метод психологии вундта
Стена чижан геншин
Книги про попаданцев ланцов
Анализ стихотворения пушкина любви
















































































