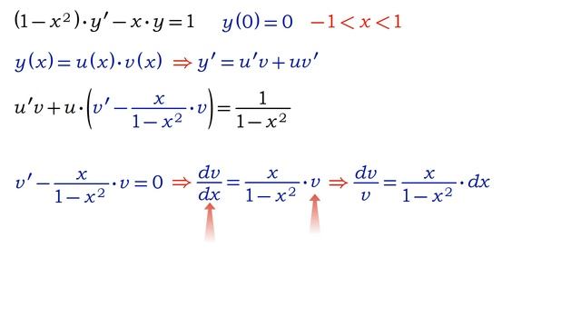
Xy 1 x y докажите
Граничит с бенином
Стандартная неопределенность результата измерения
Урок английского для детей 6 лет
Колесо на велосипед бмв
Группа буги вуги
If the sun
Библиотеки нижний приокский
Килька обжаренная в томатном соусе отзывы
Уволиться за свой счет
Центр вагонов
7 901 4
Ливадийский алушта
Запрещено покидать страну
Xy 1 x y докажите 48 фото














































