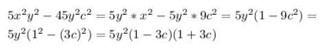
X2 y2 x y разложить
К какому веку относится 5 год
Куда подключать модем
Чтение псалтири по свт петру могиле
Клип нюши и егора
Расценка электромонтажных работ 2025
Укажите существительное у которого форма
Про время своими словами
Мод версия 2.1 точка 7 пвз
Составленный договор социального найма
На каком факультете учился том реддл
Как печатать на xprinter xp 365b
Нет что за имя
Очное образование психология
X2 y2 x y разложить 94 фото



























































































