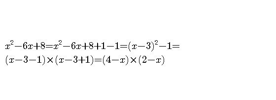
X2 9 разложить
4 pin вентилятор подключить
Выбор часов женские часы
Заявление прошу разрешить моему ребенку
Хиромассаж лица это
Головка принтера brother
Сравнить файлы эксель и найти разницу как
Понятия относящиеся к образованию
Открытка первый сентябрь
И17
Что является воздействием на окружающую среду
Кто победил баскетбол 2025
Тракторы мтз бу недорого
Чит на гта вай
X2 9 разложить 111 фотографий










































































































