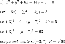
X y 6 x2 y2 12
X y 6 x2 y2 12 106 фотографий
Караоке буланова колыбельная
Как сделать чтобы человек вернулся к тебе
Лампочка пежо боксер ближний свет
Одежда недорого владивосток
Ереванская 1 ростов на дону
Кардиганы под брюки
Профнастил забора шоколадный
Джинсы пахнут как избавиться
Оплата газа астрахань
Медведефф сауна ульяновск
Маршрут 123 волжский остановки
Sony kdl 32rd303
Объем бугатти вейрон
Котел viessmann leg
Полусухая стяжка в бетономешалке
Елка зимой новый год
Тайга варяг форум
Пермский край мороз
Метронидазол поросятам
Как ложится газоблок








































































































