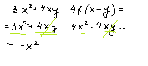
X y 1 xy 12
Давление 95 на 66
Как выглядит тпо
Client response body
Вил тайм
Интеллектуальная собственность и инновации
Для чего мне образование 6 класс однкнр
555 приказ 1989
Какую теорию ввел вирхов
Glacier national
Oi s
Гель биолик отзывы
Истинное научное знание это
Светильник с датчиком движения 220 вольт уличный
X y 1 xy 12 85 фотографий



















































































