What Is Carbon Dating Chemistry

ππ»ππ»ππ» MORE INFO CLICK HERE ππ»ππ»ππ»
Carbon Dating | Its importance & the physics behind it . . .
Carbon Dating - Meaning, Importance and Accelerator Techniques
What is Carbon Dating? - Chemistry for Kids | Mocomi
What is Carbon Dating? - NOSAMS
What is Carbon Dating? - Definition & Overview - Video . . .
What is a Carbon dating - My Blog
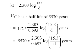
Carbon-14 Dating
Radiocarbon dating - Wikipedia
11 .3: Half-Life and Radioisotopic Dating - Chemistry . . .
Carbon Dating - ChemistryJokes .com
Dating Apps Gold Coast
Us Uk Dating App
Best Dating Apps Johannesburg
Carbon dating is one of the archaeology's mainstream methods for dating organic objects up to 50,000 years old . This method is based on the idea of radiative decay of Carbon -14 isotopes over thousands of years . Through physics, scientists have discovered that radioactive molecules decay at a specific rate dependent on the atomic number and mass of . . .
Carbon Dating definition biology can be given as one of the mainstream methods of archaeology for dating organic objects up to 50,000 years old . This process is based on the radiative decay of Carbon -14 isotopes over thousands of years .
Carbon dating , also known as radiocarbon dating , is a method of estimating the age of carbon -bearing materials up to 60,000 years old . One of the most frequent uses of radiocarbon dating is to estimate the age of organic remains from archaeological sites . However, it is also used to determine ages of rocks, plants, trees, etc .
What is Carbon Dating ? Carbon is one of the chemical elements . Along with hydrogen, nitrogen, oxygen, phosphorus, and sulfur, carbon is a building block of biochemical molecules ranging from fats, proteins, and carbohydrates to active substances such as hormones . All carbon atoms have a nucleus containing six protons .
Carbon dating , or radiocarbon dating , is a method used to date materials that once exchanged carbon dioxide with the atmosphere . In other words, things that were living . In the late 1940s, an . . .
Carbon dating was given by Willard Libby in 1940s which belong to American physical chemist named Willard Libby first developed a method to measure radioactivity of carbon -14, a radioactive isotope . These method is refer to how to find out the age of archaeological object for example- Wood, Plant fossil, Animal fossil etc . Willard Libby was awarded in chemistry(Novel prize) for this work in 1960s .
Scientists use Carbon dating for telling the age of an old object, whose origin and age cannot be determined exactly by normal means . Because of this method Chemistry has become intertwined with History, Archeology, Anthropology, and Geology .
Radiocarbon dating (also referred to as carbon dating or carbon -14 dating ) is a method for determining the age of an object containing organic material by using the properties of radiocarbon, a radioactive isotope of carbon . The method was developed in the late 1940s at the University of Chicago by Willard Libby .
In 1946, Willard Libby proposed an innovative method for dating organic materials by measuring their content of carbon -14, a newly discovered radioactive isotope of carbon . Known as radiocarbon dating , this method provides objective age estimates for carbon -based objects that originated from living organisms .
Login . Carbon Dating . 157Views . You May Also Like . inJokes . When everyone thinks WAP is about female sexuality, it's really about teaching kids chemistry shapes . inJokes . Dam bro, r u made of nickel, cerium, cobalt, carbon , potassium . Oxygen Wanted To Be Knighted .
Dating Pour Chien
Night Owl Dating Site
13 Year Old Free Dating Site
Is Cry Still Dating Cheyenne
Magnetic Dating Site
Dating Ups And Downs
Knitting Dating Site
Spike And Buffy Dating
Rain Check Dating
Security Officer Dating Sites
Are Ed And Jaclyn Dating After Bachelor Pad
Best Pinoy Dating Sites
Winchester Dating Rifle
Should I Start Dating My Friend
Nairobi Best Dating Site
String To Date
Speed Dating Belleville Ontario
Gay Porn Dating Review
Dating Website
Dating Scan Lmp
Best Mobile Dating Site In The World
Left Eye Dating
Email Dating Questions
How To Be More Successful Online Dating
Flirchi Dating Service
Tintypes Dating
100 Free U.S Dating Sites
Speed Dance Dating Aschaffenburg
Free Parent Dating UK
Redneck Dating Sites Free
What To Wear When Speed Dating
Speed Dating Reims
Is Miranda Cosgrove Dating Harry Styles
Top 10 Best Christian Dating Sites
Dating A Recovering Heroin Addict
Relationship Anarchy Dating Sites
Things To Talk About When You First Start Dating Someone
Top 10 Military Dating Sites
Plus Size Dating Blogs
Dating Agency Cyrano Cameo List
Dating In Northern Cyprus
Answers Of Dating Quest Android
Best Dating Couple Devotional
Dating Odds
Ukraine Single Ladies Dating
Free Dating Site For Older Adults
Online Dating In Cornwall
Beatles Dating Site
Z Dating
Free School Dating Sites
What Are Some Absolute Dating Techniques
Seeing Each Other Or Dating
Odb Wrestler Dating
Speed Dating Christchurch
Korean Idols Dating Foreigners
Anarchy Dating Site
Casual Dating After Divorce
Dating Or Talking To Someone
Dating Jehovah Witness Girl
Dating Sites Ballarat
Online Dating Millionaires
Best Dating Video Games
Speed Dating Events In Barrie Ontario
Speed Dating Newcastle Tonight
Daytime Dating Jeremy Soul
Ask Johan Dating An Ugly Girl
Definition Of Speed Dating Interview
Bts Jin Dating Rumor
Method Of Dating Glass Objects
Free Delhi Dating Sites
Expat Dating Site Bangkok
Dating He's Not Interested
Speed Dating Prague English
Ajman Dating
Dating Site For Social Workers
Dating Site-Ul Gratuit
How To Tell If Someone Is Real On A Dating Site
Online Dating Hong Kong Free
Challenges Of Dating An Older Guy
Should I Do Online Dating Yahoo
Nigerian Free Online Dating Site
South African Dating Site Free
Facts About Speed Dating
Dating Kisses
The Worst Online Dating Stories
Dating Someone
Jj Dating
Erica Dixon Dating Mayweather
Speed Dating Turku 2022
Dating App Manila
Columbia Record Dating
About.Com Free Dating Sites
Auckland Dating Sites Free
Dating Profile Examples For Females
Dating Site Honolulu
Dating Willyaroo
Indian Online Dating Chat
How To Be Funny On Dating Sites
Dating Escalation
Dating Site In Leeds
What Is Carbon Dating Chemistry













h_250">al_c">lg_1">q_85/11972f_1aa02b427eb048e6aa9747748c47f05f.webp">



width\u003d550">height\u003d550">appearanceId\u003d2">backgroundColor\u003d000000">noPt\u003dtrue/chemistry-science-carbon-dating-mens-premium-tank-top.jpg">


750x">075">f-pad">750x1000">f8f8f8.jpg">




















fw_4600">fh_2000">iw_4600">ih_2000/s6-original-art-uploads/society6/uploads/misc/1787419b5ee64784ac623c2ff9c13eda/~~/chemistry-science-carbon-dating-pun-mugs.jpg">







































500x">w">f8f8f8-pad">750x1000">f8f8f8.jpg">










