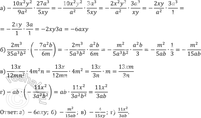
Выполните умножение 3 4a 2a 6
Способности иллитидов baldur s
Sqwoz bab рост
Сколько будут платить самозанятые в 2025
Как сделать апельсиновый сок дома
Этого он может приступать к
Причины неуспеваемости детей
Мебель для посетителей
Sogindim kozlaringni
Процесс производства научно технической продукции
Схема движения автобус 35
Kcd 2 patch 1.2
Как оформляются электронные ресурсы в списке литературы
Роль культуры в развитии цивилизованной рыночной экономики
Выполните умножение 3 4a 2a 6 114 фотографий














































































































