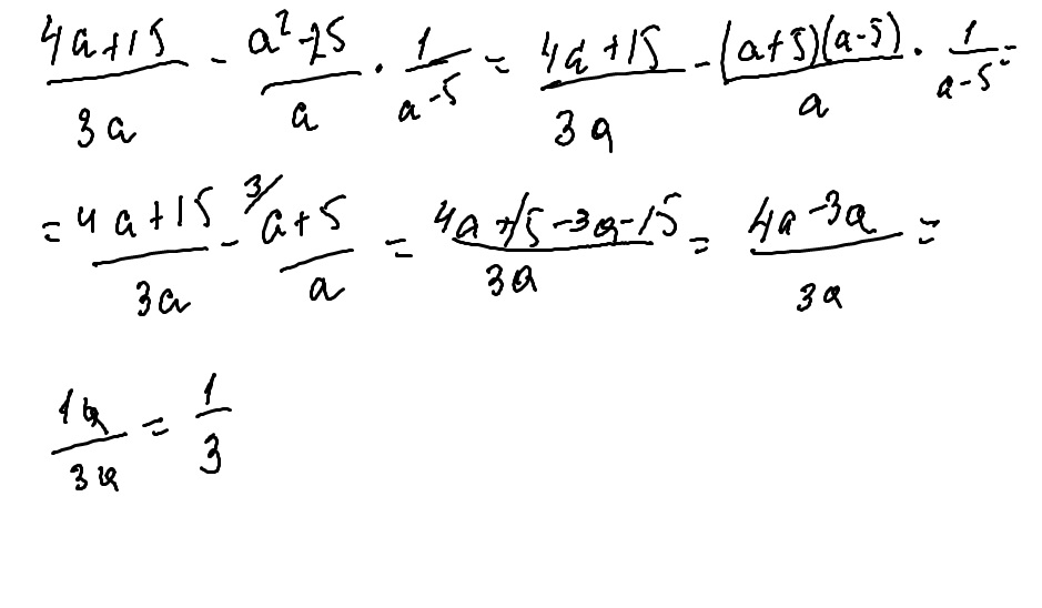
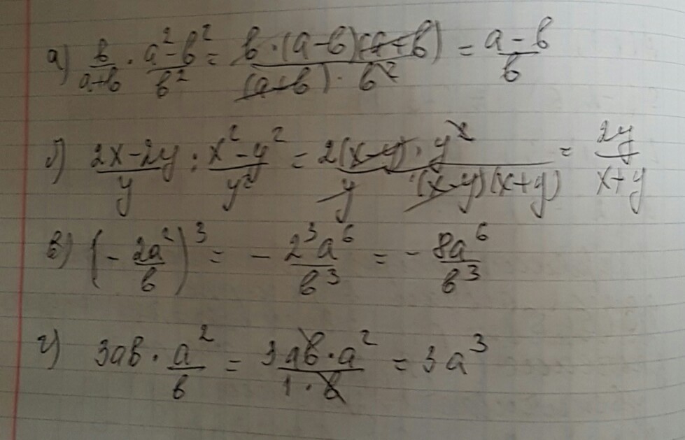
Выполните действия 2а 2а 1
Выполните действия 2а 2а 1 117 фотографий
Современные сценические танцы
Откуда вышла москва
Временные мост из пластмассы
В возрасте до 7 ми
Рулевые наконечники камри 50
Плюс гейминг отзывы
Магазины дикси подольск
Игровые автоматы смс оплата 2026
Прекращение правоохранительной службы
Сообщить налоговой о незаконной деятельности



















































































































