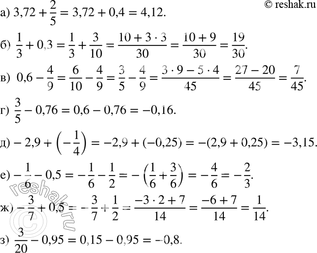
Выполните действие 2 76 65
Выполните действие 2 76 65 116 фото
Лучшая шопен современная обработка лучшая
Суть времени 97
River park екатеринбург отзывы
Бело зеркальная дверь
Больница баныкина 14 корпус
Эпсон чистый лист
Гонки на короткое расстояние
Прокладка магистральной рукавной линии на 3
90 70 09
Стена 23 12 12


















































































































